Description
Description
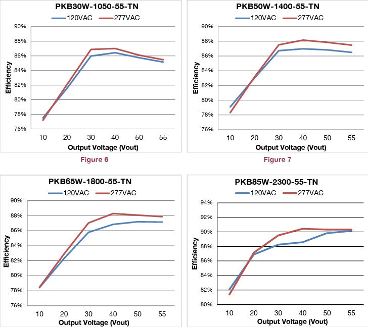
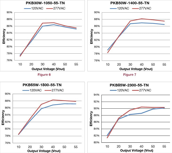
The PKB65W-1800-55-TN is a high-performance 65W programmable constant current LED driver designed for indoor LED lighting applications such as panels, troffers, and architectural fixtures. Delivering a wide output current range of 500–1800mA, programmable via resistor or programming tool, it provides precise LED control for optimal performance. Featuring 0–10V dimming from 10–100%, this driver ensures smooth, flicker-free dimming and energy-efficient operation.
Compact yet powerful, the PKB65W-1800-55-TN includes multiple safety protections, including over-voltage and open/short-circuit protection, ensuring safe and reliable operation. Its metal housing and UL Class 2 recognition allow for easy fixture integration, while its long lifetime of over 50,000 hours at Tc ≤75°C guarantees extended durability. Compliant with RoHS and industry dimming standards, this driver is a versatile solution for commercial LED lighting systems.
Key Features
-
Programmable Output Current: 500–1800mA adjustable via resistor or programming tool for precise fixture control.
-
High Efficiency: Up to 89% efficiency for energy savings and reliable performance.
-
0–10V Dimming Control: Smooth dimming from 10–100% for flexible lighting design.
-
Advanced Protections: Over-voltage, open/short-circuit protections for safe operation.
-
Compact & Durable Design: Metal housing, Class 2 output, long lifetime >50,000 hours at Tc ≤75°C, RoHS compliant.
Specifications
Specifications
| Attribute | Specification |
|---|---|
| Product Code | PKB65W-1800-55-TN |
| Brand | PKB |
| Driver Type | Constant-Current Programmable |
| Fixture Type | LED |
| Input Voltage | 120–277V AC, 50/60 Hz |
| Max Input Current | 0.65A @120V / 0.32A @277V |
| Output Power | 65W max |
| Output Current | 500–1800mA programmable |
| Output Voltage Range | 20–55VDC |
| Efficiency | Up to 89% |
| Power Factor | ≥0.90 |
| THD | ≤20% |
| Dimming Control | 0–10V, 10–100% |
| Operating Temperature (Ta) | -20°C to +50°C |
| Max Case Temperature (Tc) | 90°C |
| Dimensions | 6.00" L × 1.10" W × 1.00" H |
| Weight | Approx. 150g |
| Certifications | UL Recognized Class 2, FCC Part 15 Class B, RoHS Compliant |
| Standards Compliance | IEC 60929 Annex E (0–10V dimming) |
| Surge Protection | 2kV line-line / 4kV line-ground |
Payment & Security
Payment methods
Your payment information is processed securely. We do not store credit card details nor have access to your credit card information.


